Everything You Need to Know About AP Calculus
Monday, February 3, 2025

AP Calculus is a challenging college-level math class that helps high school students learn the basics of calculus. AP Calculus is offered on two levels: AP Calculus AB and AP Calculus BC. Calculus AB focuses on introductory topics like limits, derivatives, and basic integrals, while Calculus BC builds upon Calculus AB by covering more advanced material such as integration techniques, sequences, and series. Completing either course can earn you college credit and provide a significant advantage for students pursuing higher education in STEM fields.
Choosing between AP Calculus AB and BC? We put together this comprehensive guide to help you decide which AP Math is the best fit for you along with some tips to help you ace AP Calculus.
Differences Between AP Calculus AB and AP Calculus BC
AP Calculus AB and AP Calculus BC are two advanced placement (AP) courses and exams offered by the College Board for high school students who want to study college-level calculus. Although both courses cover essential calculus concepts, they differ in scope and depth.
| Feature | AP Calculus AB | AP Calculus BC |
|---|---|---|
| Depth of Material | First-semester college calculus | First and second-semester college calculus |
| Topics | Limits and continuityDerivatives and their applicationsIntegrals and their applicationsFundamental Theorem of CalculusDifferential equations (basic introduction) | Everything covered in Calculus ABParametric, polar, and vector functionsAdvanced integration techniquesSequences and seriesDifferential equations and slope fields (in more depth) |
| Pace | Slower | Faster and more rigorous |
| Credits Earned | 3-4 credits | 8-10 credits |
| Best For | Beginners in calculus or non-STEM students | Students confident in math or pursuing STEM |
Which AP Calculus should you take? Let's look at both courses in detail, starting with AP Calculus AB.
AP Calculus AB Course Overview
AP Calculus AB covers topics equivalent to a first-semester college calculus course**,** focusing on foundational calculus concepts like limits, derivatives, and basic integrals. You'll also gain skills in critical thinking, problem analyzing and solving.
Here's a quick overview of the AP Calculus AB course content:
- Limits describe the behavior of a function as its input (often called x) gets closer and closer to a specific value. Imagine a simple function like f(x) = x + 1.
The function is f(x) = x + 1, meaning whatever value you plug in for x, you just add 1. So we say that as x gets closer to 2, the f(x) value gets closer to 3.
How it's solved: f(x) = 2 + 1 = 3
Limits are essential for solving problems in physics, engineering, and other fields because they help to analyze points where a function isn’t defined or has gaps.
- Derivatives are used to measure the rate of change of a function at a specific point. Applications include velocity (the rate of change of position over time), acceleration (the rate of change of velocity over time), and optimization (the maximum or minimum values of a function).
Imagine a farmer with 100 meters of fencing to build a rectangular fence. What dimensions maximize the area?
Here's how you can solve it:
- Let l be the length, and w the width. The perimeter P = 2l + 2w = 100, so y = 50 − x.
- The area is P = l⋅w = l(50−l) = 50l − l^2.
- Differentiate: P′(l) = 50 − 2l.
- Set P′(l)= 0:50 − 2l = 0 ⟹ l = 25.
- Dimensions: l = 25 (length), w = 25 (width)
The dimensions that maximize the area are 25 meters by 25 meters, and the maximum area is: P = 25 x 25 = 625 square meters.
If you're confused about the example and want to see the solution explained in detail, you can type in the question in Mathos AI, and see a step-by-step solution.
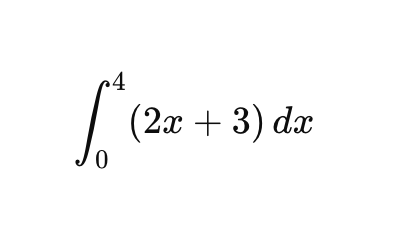
- Integrals are used to find the area under a curve. Here's an example of what you will learn in an AP Calculus AB course, asking you to find the area under the curve f(x) = 2x + 3 from x = 0 to x = 4.
Integrals can solve problems in Physics, Geometry, accumulation of quantities, growth/decay (take population growth as an example), and optimization.
- Applications of Derivatives and Integrals in AP Calculus AB are not just theoretical, they’re powerful tools for solving real-world problems in physics, engineering, economics, biology, and other fields.
For example, in physics, you can use derivatives to measure the rate of change. In business and economics, you need integrals and derivatives to analyze cost, profit, and revenue functions.
AP Calculus AB Exam
The AP Calculus AB exam lasts 3 hours and 15 minutes and is divided into two sections (multiple choice and free response). For part of the exam, a calculator is not allowed. Check out the AP exam calculator policy and the approved graphing calculators before the exam.
The exam includes questions on various types of functions algebraic, exponential, logarithmic, trigonometric, and different representations (analytical, graphical, tabular, and verbal).
45 Multiple Choice Questions | 1 Hour 45 Minutes | 50% Exam Score
- Part A: 30 questions in 60 minutes. No calculator allowed
- Part B: 15 questions in 45 minutes. Graphing calculator required
6 Free Response Questions | 1 Hour 30 Minutes | 50% Exam Score
- Part A: 2 questions in 30 minutes. Graphing calculator required
- Part B: 4 questions in 60 minutes. No calculator allowed
AP Calculus AB Exam Questions
Here are some questions from past AP Calculus AB exams (from the College Board) to give you an idea of what the exam looks like.
Example of AP Calculus AB exam multiple choice question Part A:
Let be the function given by . On which of the following intervals is the function increasing?
(A) and )
(B) ]
(C) only]
(D) only]
(E) ]
Example of AP Calculus AB exam multiple choice question Part B:
A particle moves along the -axis. The velocity of the particle at time is given by , and the acceleration of the particle at time is given by . Which of the following gives the average velocity of the particle from time to time ?
(A)
(B)
(C)
(D)
(E)
Example of AP Calculus AB exam free response question Part A:
A particle moves along the -axis so that its velocity at time is given by .
(a) There is one time, , in the interval when the particle is at rest (not moving). Find . For , is the particle moving to the right or to the left? Give a reason for your answer.
(b) Find the acceleration of the particle at time . Show the setup for your calculations. Is the speed of the particle increasing or decreasing at time ? Explain your reasoning.
(c) The position of the particle at time is , and its position at timeis . Find the position of the particle at time . Show the setup for your calculations.
(d) Find the total distance traveled by the particle over the interval . Show the setup for your calculations.
Example of AP Calculus AB exam free response question Part B:
The graph of the differentiable function , shown for , has a horizontal tangent at and is linear for . Let be the region in the second quadrant bounded by the graph of , the vertical line , and the - and -axes. Region has area 12.
(a) The function is defined by . Find the values of , and .
(b) For the function defined in part (a), find all values of iin the interval at which the graph of has a critical point. Give a reason for your answer.
(c) The function is defined by . Find the values of , and . Show the work that leads to your answers.
AP Calculus BC Course Overview
AP Calculus BC covers all the topics taught in Calculus AB, plus more advanced topics such as parametric equations, polar coordinates, vector-valued functions, and infinite sequences and series. Here's a quick overview of the additional topics:
- Parametric equations express the coordinates of a point in terms of a third variable, typically denoted as t. Instead of directly relating x and y, parametric equations define x and y as functions of t.
A simple example of parametric equations is the representation of a circle: x = r cos(t), y = r sin(t) where r is the radius of the circle and t is the parameter ranging from 0 to 2π.
- Polar coordinates are a two-dimensional coordinate system where each point on a plane is determined by a distance from a fixed point and an angle from a fixed direction. A point in polar coordinates is written as (r, θ).
An example of a polar function is the cardioid: r = 1 + cos(θ).
- Vector-valued functions are mathematical functions that take one or more variables as input and return a vector as output. These functions are useful in describing motion in space, curves, and physical phenomena.
For example, a vector-valued helix function: r(t)= (cos(t), sin(t), t) creates a spiral path by circling around (cos(t), sin(t)) and rising vertically (t). As t increases, the path winds up and rises.
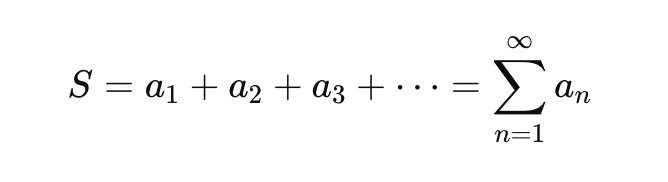
- An infinite sequence is an ordered list of numbers that goes on forever. Each number in the sequence is called a term, and the position of a term in the sequence is often denoted by n, where n=1,2,3,…, so an infinite sequence is represented as: a1,a2,a3,… An infinite series is the sum of the terms of an infinite sequence. You can write it as a1 + a2 + a3 + …
See this example of the sum of an infinite series:
Want to see a breakdown explanation of the equation? You can drop it to Mathos AI math solver to help you understand the concept better.
Mathos AI provides highly accurate solutions for various mathematical problems, from elementary equations to advanced calculus. Its sophisticated algorithms and robust error-checking ensure precision, while its problem-solving functions are engineered to minimize inaccuracies. You'll find the solution broken down into a few important sections.
AP Calculus BC Exam
The AP Calculus BC exam follows the same format as the AP Calculus AB exam. The exam is 3 hours and 15 minutes divided into multiple-choice and free-response sections.
The AP Calculus BC exam tests students' understanding through diverse function types and representations, ranging from algebraic to trigonometric, and presented analytically, graphically, and verbally. The exam balances procedural skills with conceptual knowledge, incorporating real-world scenarios to demonstrate practical mathematical applications.
Here's the detailed breakdown of the AP Calculus BC exam format:
45 Multiple Choice Questions | 1 Hour 45 Minutes | 50% Exam Score
- Part A: 30 questions in 60 minutes. No calculator allowed
- Part B: 15 questions in 45 minutes. Graphing calculator required
6 Free Response Questions | 1 Hour 30 Minutes | 50% Exam Score
- Part A: 2 questions in 30 minutes. Graphing calculator required
- Part B: 4 questions in 60 minutes. No calculator allowed
AP Calculus BC Exam Questions
Here are some questions from past AP Calculus BC exams (from the College Board) to give you an idea of what the exam looks like.
Example of AP Calculus BC exam multiple choice question Part A:
For , the power series converges to which of the following?
(A)
(B)
(C)
(D)
(E)
Example of AP Calculus BC exam multiple choice question Part B:
For , let be a function with first derivative given by . Which of the following are all intervals on which the graph of is concave down?
(A) ) only
(B) )
(C) and )
(D) and )
(E) , and )
Example of AP Calculus AB exam free response question Part A:
A particle moving along a curve in the -plane has position ) at time seconds, where and are measured in centimeters. It is known that and . At time 2 seconds, the particle is at the point .
(a) Find the speed of the particle at time = 2 seconds. Show the setup for your calculations.
(b) Find the total distance traveled by the particle over the time interval . Show the setup for your calculations.
(c) Find the -coordinate of the position of the particle at the time . Show the setup for your calculations.
(d) For , the particle remains in the first quadrant. Find all times in the interval when the particle is moving toward the -axis. Give a reason for your answer.
Example of AP Calculus BC exam free response question Part B:
The function is twice differentiable for all with . Values of , the derivative of , are given in the table for selected values of .
(a) For , the function is defined by . Find the value of . Show the work that leads to your answer.
(b) What information does provide about the graph of ?
(c) Use Euler's method, starting at with two steps of equal size, to approximate . Show the computations that lead to your answer.
(d) Find . Show the work that leads to your answer.
Which AP Course Should You Take?
So should you take AP Calculus AB or BC? First of all, there are prerequisites before you can take AP Calculus. You must complete Algebra 2 and Precalculus. If you've taken both, consider the three factors below before deciding which AP course to take.
- Your current math level
If you have a strong foundation in trigonometry and algebra, you might be well-prepared for the challenge of fast-paced Calculus BC, which requires analytical thinking and covers more advanced math topics such as parametric equations, polar coordinates, and series.
However, if you don't have a solid foundation in limits, derivatives, integrals, and their basic applications, Calculus AB or Precalculus could be a better option to begin with.
- Your college plans
If you’re aiming for a STEM-related field like engineering, physics, computer science, or even economics, taking AP Calculus BC can be a great advantage. For example, in engineering, you’ll need to understand things like power series for circuit analysis, and in physics, parametric equations are essential for modeling motion. Plus, it grants more college credits than Calculus AB.
AP Calculus AB works for both STEM and non-STEM majors. For instance, a business major might only need calculus to understand optimization problems or calculate growth rates, which are covered in Calculus AB.
Can't decide on a major yet? If your goal is to earn college credit and save money on college tuition, check the AP Credit Policy of the college you're applying to.
- Workload and time commitment
If you’re already balancing a busy schedule with other challenging coursework, Calculus AB might be the better option to keep things manageable. Calculus BC is considered one of the hardest AP courses, not necessarily because of the curriculum, it's more about its heavy workload. The course is fast-paced and covers more in-depth topics that require extra time to study.
Effective Ways to Study For AP Calculus Exams
- Master the core concept and formula
Focus on understanding the core concepts like limits, derivatives, and integrals (If you're taking Calculus BC, you should master series and parametric equations as well). Memorize essential formulas for differentiation, integration, and geometry. The best way to understand and memorize the formulas is to apply them in practice.
For example, practice applying the product rule for derivatives: f(x) = x²sin(x), use the formula f′(x) = u′v + uv′ to find f'(x) = 2xsin(x) + x²cos(x).
- Take advantage of high-quality learning resources
Besides the course materials, you can find plenty of helpful online resources like College Board's AP Classroom, Khan Academy, YouTube channels, etc to find practice questions and explained solutions.
If you run into any problem while doing homework, ask for help immediately, and don't accumulate problems. It'd be good to have tutor sections to solve specific problems. If you can't find a tutor, try an AI math tutor or homework helper to get instant help.
https://youtu.be/4twGM1J0Slw?si=15Lm6yqs9TaMj5mm
- Learn from practice exams
Understanding concepts and formulas is important, but knowing how to apply them in practice is even more important. As you do more practice tests or exams, you find out your weaknesses, which helps you target the weaknesses because you can focus on the wrong answers and analyze why you get them wrong.
It's highly recommended that you do practice exams consistently because consistent practice over time is more effective than cramming the night before. It's also a good idea to take practice exams under timed conditions to familiarize yourself with the actual exam.
Another tip is to practice how to use a graphing calculator effectively for the calculator-allowed sections of the exam.
Conclusion
AP Calculus AB and BC are college-level calculus courses. Calculus AB covers fundamental concepts like limits, derivatives, and integrals, providing a solid foundation in calculus. Calculus BC delves deeper into the concepts taught in Calculus AB and introduces additional topics such as parametric equations, polar coordinates, and sequences and series.
Choosing between AP Calculus AB and BC depends on your academic goals and comfort level with challenging coursework. If you're unsure about the rigor of calculus or plan to pursue a non-STEM field, Calculus AB may be a better fit. However, if you excel in math, are interested in STEM fields, and are prepared for a fast-paced and demanding course, Calculus BC can provide a significant advantage by potentially earning you more college credit and a head start in your studies.
FAQs
How many college credits can you get if you get a 4 on the AP Calculus AB exam?
A score of 4 on the AP Calculus AB exam usually earns you between 4 and 8 semester hours of college credit. However, the exact number of credits varies by college, so always check with the specific schools you're interested in for their policies. For example, you can get 4 credits at UCLA if you get a 4 on your AP Calculus AB exam.
Is AP Calculus harder than Precalculus?
Yes, AP Calculus is generally considered harder than Precalculus because AP Precalculus focuses on foundational concepts, while AP Calculus introduces new and more complex mathematical ideas.
Is AP Calculus AB worth it?
Yeah, AP Calc AB is definitely worth considering. It's a tough class, but you'll learn a ton, especially how to think critically. Plus, you might get college credit and save money on tuition, which is always a bonus.
Why is AP Calculus BC so hard?
AP Calculus BC is considered one of the hardest AP classes because it covers a massive amount of material at a fast pace. It’s like cramming two semesters of college-level calculus into one high school class, which can feel overwhelming if you’re not confident in your math skills or time management.