إتقان تحويل لابلاس مع آلة حاسبة لتحويل لابلاس
الاثنين، 4 نوفمبر 2024

هل سبق لك أن تم إعطاؤك مشكلة رياضية فقط لتتساءل عما إذا كانت تنتمي إلى لغز كابوسي؟ واحدة من تلك المعادلات التفاضلية المعقدة تجعلك تتساءل لماذا كنت تأخذ هذه المادة في المقام الأول. حسنًا، إذا كنت لا تعرف من أين تبدأ، لدي أخبار جيدة: تحويل لابلاس هنا لإنقاذ الموقف. إنه يساعد في تفكيك المشكلات المعقدة إلى شيء يمكنك حله.
سواء كنت طالبًا تحاول البقاء فوق الماء أو محترفًا يتعامل مع الرياضيات على مستوى عالٍ، فإن فهم معنى تحويل لابلاس يمكن أن يحدث فرقًا كبيرًا. ولا تقلق، سأرشدك خلال الأساسيات، من خصائصه الرئيسية إلى كيفية حاسبة تحويل لابلاس التي يمكن أن تبسط حياتك.
ما هو تحويل لابلاس؟
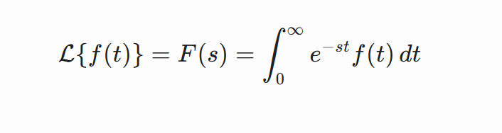
إذن، ما هو تحويل لابلاس بالضبط؟ ببساطة، إنه عملية رياضية تحول دالة متجهة في مجال الزمن (عادة ما تُسمى بـ ) إلى مجال التردد (عادة ما تُسمى بـ ). لا تخف، ليس الأمر مخيفًا كما يبدو. الهدف الرئيسي من تحويل لابلاس هو تبسيط عملية حل المعادلات التفاضلية، مما يجعلها أسهل في التعامل معها، خاصة في مجالات مثل الهندسة والفيزياء. في جوهره، يُعتبر تحويل لابلاس كخدعة سحرية في الرياضيات. يساعدك على الانتقال من التعامل مع معادلات تفاضلية معقدة إلى شيء أبسط بكثير: الجبر. هذه الخدعة تجعل تحويل لابلاس أداة قيمة للغاية لحل المشكلات في أنظمة التحكم، ومعالجة الإشارات، والأنظمة الديناميكية. الصيغة لتحويل لابلاس تُعطى بواسطة:
هنا، هو متغير الزمن، وsss هو متغير تردد معقد. الفكرة هي أخذ دالتك (التي يمكن أن تمثل عملية فيزيائية أو إشارة)، وضربها في ، ثم تكاملها من 0 إلى اللانهاية. النتيجة هي دالة محولة ، التي توجد في مجال التردد المعقد.
خصائص تحويل لابلاس
الآن بعد أن عرفت ما هو تحويل لابلاس، دعنا نتعمق في التفاصيل الدقيقة - الخصائص. تجعل هذه الخصائص تحويل لابلاس أداة متعددة الاستخدامات لحل مجموعة متنوعة من المشكلات في الرياضيات والهندسة.
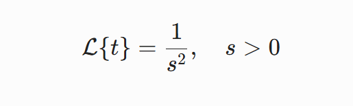
- تحويل لابلاس لـ
تحويل لابلاس لـ بسيط للغاية. إذا بدأنا بالوظيفة الأساسية ، فإن تحويل لابلاس هو:
هذا مثال بسيط ولكنه قوي على كيفية تحويل تحويل لابلاس لدالة زمنية خطية إلى تعبير جبري من حيث .
اطلب من Mathos AI أن يشرح لك هذا:
- أمثلة على تحويل لابلاس العكسي
التحويل العكسي لليتحويل لابلاس هو عملية تحويل دالة في مجال مرة أخرى إلى مجال الزمن. لنفترض أن لدينا دالة في مجال التردد، . يقوم التحويل العكسي لليتحويل لابلاس بإعادتها إلى . على سبيل المثال: دعونا نجد التحويل العكسي لليتحويل لابلاس لهذه الدالة: .
إجابة Mathos AI:
تعتبر هذه الخاصية أساسية في حل المعادلات التفاضلية حيث تقوم أولاً بتطبيق تحويل لابلاس، ثم تحل المعادلة في المجال الجبري، ثم تأخذ التحويل العكسي لليتحويل لابلاس للعودة إلى مجال الزمن.
جدول تحويل لابلاس
بالنسبة لأي شخص يعمل بانتظام مع تحويل لابلاس، فإن وجود جدول تحويل لابلاس في متناول اليد أمر ضروري. يلخص هذا الجدول الدوال الشائعة وتحويلاتها المقابلة، مما يجعله مرجعًا سريعًا للطلاب والمحترفين على حد سواء. إليك بعض الإدخالات القياسية:
المفتاح:
- هو دالة دلتا ديراك؛
- هو دالة الخطوة الوحدة؛
- و هما ثوابت؛
- يدل على العامل لـ ؛
هذا جدول تحويل لابلاس هو مصدر موثوق لحل المشكلات المتعلقة بالمعادلات التفاضلية وتحليل الأنظمة بسرعة.
كيف تقوم بتحويل لابلاس؟
الآن بعد أن غطينا الأساسيات، قد تتساءل: كيف أقوم بتحويل لابلاس؟ هذا ليس علم صواريخ. العملية بسيطة، ومع أدوات مثل آلة حاسبة تحويل لابلاس من Mathos AI، تصبح الأمور أسهل.
إليك دليل خطوة بخطوة:
- اكتب الدالة التي تريد تحويلها.
- اضرب الدالة في ، حيث sss هو عدد مركب.
- قم بالتكامل للمنتج بالنسبة لـ ، من 0 إلى اللانهاية.
- بسط النتيجة للحصول على الدالة المحولة .على سبيل المثال، إذا كنت ترغب في حساب تحويل لابلاس لـ ، ووجدت أن العمل اليدوي يبدو مملًا جدًا، فقط أدخل الدالة في آلة حاسبة تحويل لابلاس من Mathos AI، وستحصل على النتيجة في ثوانٍ—مع تحليل تفصيلي خطوة بخطوة، تمامًا مثل هذا:
الأسئلة الشائعة حول تحويل لابلاس
لقد قمت بتجميع بعض الأسئلة الشائعة حول تحويل لابلاس التي يسألها الطلاب خلال دراستهم للرياضيات. انظر كيف تجيب Mathos AI على هذه الأسئلة الرياضية.
ما هو YC و YN في تحويل لابلاس؟
إجابة Mathos AI:
ما هو الشرط اللازم لتقارب تحويل لابلاس؟
إجابة Mathos AI:
كيف تحسب تحويل لابلاس للمشتقات؟
إجابة Mathos AI:
Mathos AI في جانبك
الآن بعد أن قمت برحلة عبر عالم تحويلات لابلاس - من فهم معنى تحويل لابلاس إلى اكتشاف خصائصه الرائعة - ربما تتساءل، "كيف يمكنني تطبيق كل هذا دون أن أجن؟" هنا يأتي Mathos AI كرفيق البطل الخارق الذي لم تكن تعرف أنك تريده. مع الآلة الحاسبة القوية لتحويل لابلاس، لا يساعدك Mathos AI فقط في التعامل مع هذه المعادلات المعقدة، بل يظهر لك الخطوات بطريقة منطقية. سواء كنت تعمل على التدوين العلمي أو سؤال حول التكاملات، سيجعلك Mathos AI تشعر وكأن لديك رمز الغش النهائي في الرياضيات. هل أنت مستعد لتقليل الوقت والطاقة والإحباط بشكل كبير؟ إذا كنت تتردد أبدًا بشأن مسائل الرياضيات في واجبك المنزلي؟ ثم جرب Mathos AI PDF Homework Helper. يقوم Mathos AI PDF Homework Helper بتبسيط مهام واجب الرياضيات. يمكنك حل المشكلات مباشرة على ملفات PDF من خلال الدائرة حول الأسئلة والحصول على حلول خطوة بخطوة. بالإضافة إلى ذلك، يمكنك تعديل، وإضافة ملاحظات، وتدوين الملاحظات على مواد دراستك.